
|
La Bascule D |
La Bascule D 'latch' ou verrou
(bistable transparant latch)
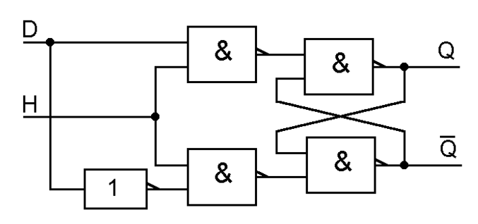
Cette bascule dispose d'une seule entrée de commande D (pour Data) et d'une entrée de synchronisation H.
Lorsque H est active (niveau haut) la bascule est synchronisée et sa sortie évolue en fonction de l'état de D, la sortie recopie l'état de D.
Lorsque H est inactive, la sortie ne change pas d'état, l'entrée D est inhibée afin de placer le bistable à l' état mémoire, lors du passage à l'état mémoire c'est la dernière valeur de D qui est mémorisée.
Ceci se réalise en utilisant une bascule RSH ou S = D et R = D
|
|
Bascule D synchronisée sur un niveau haut de l'horloge
|
Symbole électrique (norme IEEE/IEC) |
Table de fonctionnement |
Graphe d' évolution |
|
|
|
|
Bascule D synchronisée sur un niveau bas de l'horloge
|
Symbole électrique (norme IEEE/IEC) |
Table de fonctionnement |
Graphe d' évolution |
|
|
|
|
|
Chronogramme de fonctionnement Bascule D synchronisée sur un niveau haut de l'horloge |
|
|
Simulation (Proteus 7)
le schéma structurel version Proteus 7.xx D_latch.DSN
le schéma structurel version Proteus 8.xx D_latch.pdsprj
Exemple de composant (74xx75) 74HC75.pdf




Créé avec HelpNDoc Personal Edition: Révolutionnez votre révision de documentation avec l'analyseur de projet de HelpNDoc







