
|
La Bascule R S |
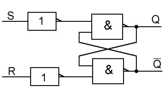
La Bascule R S
La bascule RS est une simple prolongation de la bascule précédente où l'on a rendu les entrées actives au niveau haut.

|
Symbole électrique (norme IEEE / IEC) |
Table de fonctionnement |
Graphe d' évolution |
|
|
|
|
Chronogramme de fonctionnement


le schéma structurel version Proteus 7.xx RS_NAND.DSN
le schéma structurel version Proteus 8.xx RS_NAND.pdsprj
Cette bascule peut être réalisée à l'aide de portes OU-NON (NOR)
Créé avec HelpNDoc Personal Edition: Élevez votre documentation vers de nouveaux sommets avec le référencement intégré de HelpNDoc


