
|
La bascule R/ S/ |
LES BASCULES ASYNCHRONES
La Bascule R S
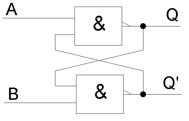
Soit le montage suivant
|
|
Analyse du montage L'expression de Q est la suivante: Q = (A . Q') = A + Q' Q' = (B . Q) = B + Q ce qui donne: Q = A + B.Q et Q' = B + A.Q' |
Cette expression montre bien que l'état de la sortie Q dépend de A et B, mais aussi de son état initial. L' expression peut donc se réécrire en faisant intervenir la variable temps.

Phase 1: A=0 et B=1 Qt+ = 1 et Q't+ = 0
mise à l'état haut de la sortie Q
Phase 2: A=1 et B=1 Qt+ = Qt- et Q't+ = Q't - de plus Q' = Q
cette phase représente l'état mémoire de la bascule
Phase 3: A=1 et B=0 Qt+ = 0 et Q't+ = 1
mise à l'état bas de la sortie Q
Phase 4: A=0 et B=0 Qt+ = 0 et Q't+ = 0
L' entrée A, active à l'état bas, sera appelée S, S pour Set , mise à 1. L'entrée B, aussi active à l'état bas, sera appelée R, R pour Reset, remise à 0.
De plus si l'on excepte la phase 4, on peut écrire pour les autres phases Q = Q', la représentation symbolique de cette bascule est alors la suivante
|
Symbole électrique (norme IEEE / IEC) |
Table de fonctionnement |
|
|
|
|
Chronogramme de fonctionnement |
|
|
Simulation (Proteus 7)
le schéma structurel version Proteus 7.xx R_S_NAND.DSN
le schéma structurel version Proteus 8.xx R_S_NAND.pdsprj
Cette bascule fonctionne correctement mais il existe un cas où il y a risque d'instabilité comme le montre la vidéo suivante
Cette instabilité a lieu lorsque les deux entrées passent simultanément de l'état actif (R = S = 0) à l'état inactif (R = S = 1).
Exemple de composant (74xx279) DM74LS279.PDF
|
DM74LS279 Quad S/ - R/ Latch General Description The DM74LS279 consists of four individual and independent Set-Reset Latches with active low inputs. Two of the four latches have an additional S input ANDed with the primary S input. A LOW on any S input while the R input is HIGH will be stored in the latch and appear on the corresponding Q output as a HIGH. A LOW on the R input while the S input is HIGH will clear the Q output to a LOW. Simultaneous transition of the R and S inputs from LOW-to-HIGH will cause the Q output to be indeterminate. Both inputs are voltage level triggered and are not affected by transition time of the input data. |
|
|
|
|

Créé avec HelpNDoc Personal Edition: Révolutionnez la production de votre documentation avec un outil de création d'aide






